长春西汀对脑缺血保护作用 |
| 董琳琳,姜丽杰,刘莹,刘铁红 |
|
Protective Effect of Vinpocetineon Cerebral Ischemia |
| Linlin DONG,Lijie JINAG,Ying LIU,Tiehong LIU |
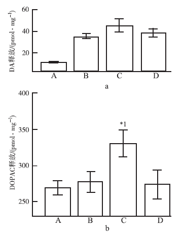
| 图2 高钾离子去极化情况下长春西汀对于DA和DOPAC的影响释放( a.DA 释放;b.DOPAC释放;A.KRH;B.30 mmol·L-1 K+;C.30 mmol·L-1K++15 mmol·L-1长春西汀;D.30 mmol·L-1K++1 μmol·L-1TTX;与KRH比较,*1P<0.05 |
| Fig.2 Effect of vinpocetine on DA and DOPAC release in depolarization induced by high concentration of K+( a.DA release;b.DOPAC release;A.CTR;B.30 mmol·L-1 K+;C.30 mmol·L-1K+ spiked with 15 mmol·L-1 vinpocetine;D.30 mmol·L-1K+ spiked with 1 μmol·L-1 tetrodotoxin (TTX);Compared with KRH,*1P<0.05 |
![]() |