炒酸枣仁对焦虑大鼠基底外侧杏仁核神经元信息编码动态变化的影响* |
| 华伊,张正一,王艳艳,黄莉莉,叶晓楠,李廷利 |
|
Effect of Fried Semen Ziziphi Spinosae on Dynamic Changes of Neuronal Information Coding in Basolateral Amygdala of Anxiety Rats |
| Yi HUA,Zhengyi ZHANG,Yanyan WANG,Lili HUANG,Xiaonan YE,Tingli LI |
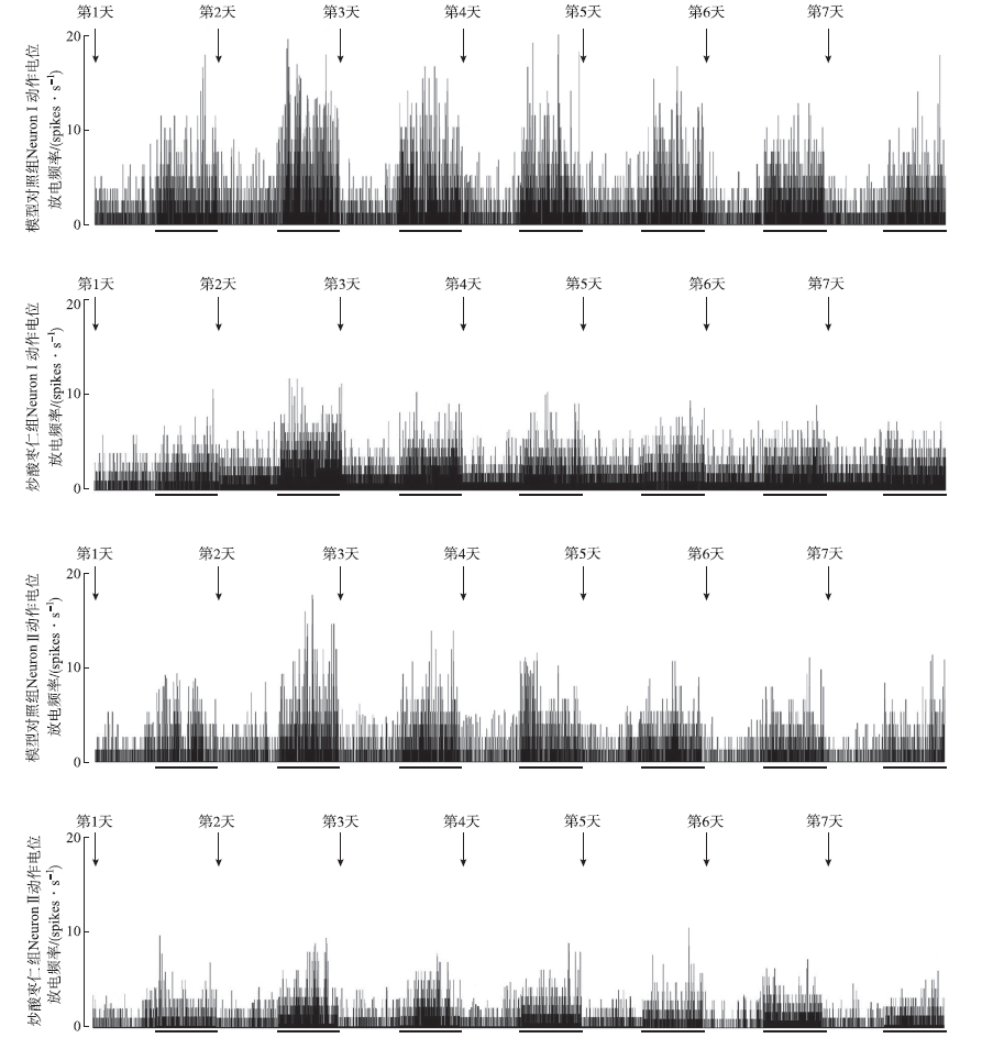
| 图3 大鼠BLA区神经元动作电位放电频率的动态变化 底部未画黑线部分为大鼠处于日常饲养环境中的基础放电,画黑线部分为大鼠处于旷场环境中的旷场放电。 |
| Fig.3 Dynamic changes of neurons action potential discharge frequency in rats’ BLA area Part without black lines at the bottom is the basic discharge of rats in the daily feeding environment,and the part with black lines is the open-field discharge of rats in open field environment. |
![]() |