有机阴离子转运多肽对白头翁五环三萜皂苷在大鼠肠道吸收的影响* |
| 刘亚丽,徐贞权,李泽协,周明月,魏韶锋,王萌,张凌,管咏梅,李翔,张靖,苏丹 |
|
Effects of Organic Anion Transport Peptides (OATPs) on Intestinal Absorption of Pulchinenosides in Rats |
| Yali LIU,Zhenquan XU,Zexie LI,Mingyue ZHOU,Shaofeng WEI,Meng WANG,Ling ZHANG,Yongmei GUAN,Xiang LI,Jing ZHANG,Dan SU |
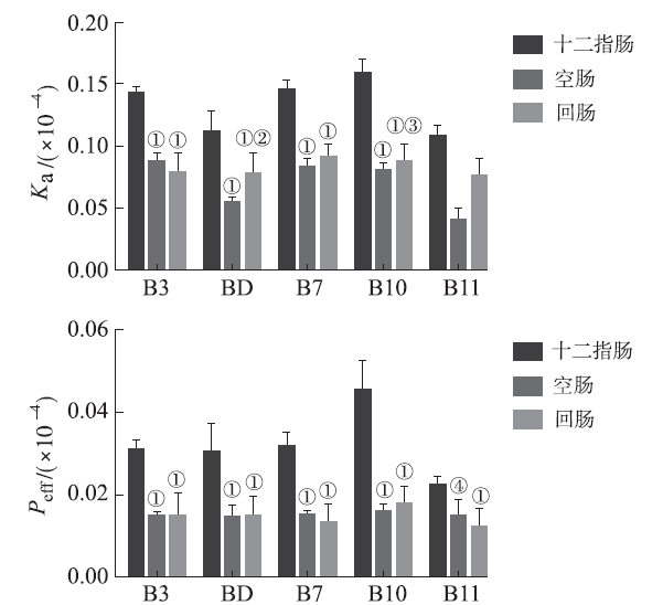
| 图1 白头翁皂苷在十二指肠、空肠、回肠中的Ka和Peff值($\overline{x}$±s,n=5) ①与十二指肠比较,P<0.01;②与空肠比较,P<0.05;③与空肠比较,P<0.01;④与十二指肠比较,P<0.05。 |
| Fig.1 Kaand Peff of pulchinenosides in duodenum,jejunum and ileum($\overline{x}$±s,n=5) ①Compared with duodenum,P<0.01;②Compared with jejunum,P<0.05;③Compared with jejunum,P<0.01;④Compared with duodenum,P<0.05. |
![]() |