中国科技论文统计源期刊 中文核心期刊  
美国《化学文摘》《国际药学文摘》
《乌利希期刊指南》
WHO《西太平洋地区医学索引》来源期刊  
日本科学技术振兴机构数据库(JST)
第七届湖北十大名刊提名奖  
医药导报, 2017, 36(6): 601-605
doi: 10.3870/j.issn.1004-0781.2017.06.003
异槲皮苷对脂多糖诱导RAW264.7细胞产生炎症因子的调控*
Regulation Effects of Isoquercitrin on Inflammatory in LPS-induced RAW264.7 Cell
刘天旭1, 李娟1, 蒋国君1, 董晓敏2, 朱钊铭3, 黄桂红1,3

摘要:

目的 探讨异槲皮苷对脂多糖(LPS)诱导RAW264.7细胞产生的炎症因子的调控作用。方法 噻唑蓝(MTT)法检测异槲皮苷对细胞生长的抑制率;酶联免疫吸附测定(ELISA)法检测培养基中肿瘤坏死因子α(TNF-α)含量,一氧化氮(NO)试剂盒检测NO含量;Western blotting检测iNOS和环氧化酶-2(COX-2)蛋白的表达。结果 异槲皮苷对细胞的半数抑制浓度为65.73 μmol·L-1;LPS对细胞无抑制作用;与LPS组比较,异槲皮苷(20,10 μmol·L-1)可使TNF-α分泌降低至74.80%,60.57%,且对TNF-α分泌的抑制作用,与剂量减少呈正相关;一氧化氮试剂盒检测结果显示异槲皮苷(20,10 μmol·L-1)可以抑制NO的分泌, NO的分泌量降低至79.34%,68.81%(P<0.05); Western blotting实验结果表明:异槲皮苷(20,15,10 μmol·L-1)可降低iNOS和COX-2蛋白的表达(P<0.05)。结论 异槲皮苷具有抗炎作用,其抗炎分子机制可能与抑制TNF-α、NO、iNOS和COX-2的产生有关,当异槲皮苷浓度为10 μmol·L-1时抗炎作用最强。

关键词: 异槲皮苷 ; RAW264.7细胞 ; 炎症因子 ; 肿瘤坏死因子α

Abstract:

Objective To investigate the influence of isoquercitrin on the inflammatory factors in LPS-induced RAW264.7 cells. Methods MTT method was used to detect inhibition ratio of RAW264.7 cells induced by isoquercitrin.The level of TNF-α in culture medium was measured by ELISA.Nitric oxide (NO) was detected by Nitrate Assay Kit.Western blotting was used to investigate the influence on the productions of inducible nitric oxide synthase (iNOS) and cyclooxygenase-2 (COX-2). Results The half inhibitory concentration (IC50) of isoquercitrin was 65.73 μmol·L-1.LPS had no inhibitory effect on the cells.Compared with LPS group,the level of TNF-α was decreased to 74.80% and 60.57% in isoquercitrin (20,10 μmol·L-1) groups in a dose-dependent manner.The results measured by Nitrate Assay Kit revealed that isoquercitrin (20,10 μmol·L-1) could suppress production of NO,the level of NO decreased to 79.34% and 68.81%(P<0.05). The Western blotting results showed that isoquercitrin (20,15,10 μmol·L-1) inhibited the productions of iNOS and COX-2 (P<0.05). Conclusion Isoquercitrin has anti-inflammatory effects by inhibiting the productions of TNF-α,NO,iNOS and COX-2,and the most effective dose for the inhibition is 10 μmol·L-1.

Key words: Isoquercitrin ; RAW264.7 cell ; Inflammatory factors ; Tumor necrosis factor α

巨噬细胞起源于骨髓前体细胞,很多疾病的炎症反应都有巨噬细胞参与,尤其在呼吸系统疾病中,气道慢性炎症是多种肺部疾病,如慢性阻塞性肺疾病、支气管哮喘等共同病理生理特征,在病理生理过程中巨噬细胞起着极为重要的作用[1-2]。异槲皮苷是一种含有糖苷结构的天然黄酮醇槲皮素,具有抗氧化活性、抗炎活性、抗癌、抗过敏作用[1,3-5]。本课题组在前期研究中发现异槲皮苷具有抗炎作用[6],但其抗炎的分子机制仍不清楚,笔者在本实验拟进一步深入研究异槲皮苷对巨噬细胞产生的炎症因子的调控作用,为异槲皮苷的临床应用提供理论基础。

1 材料与方法
1.1 仪器及试剂

RAW264.7小鼠单核巨噬细胞白血病细胞购于中国科学院上海细胞库;异槲皮苷购于春秋生物工程有限公司,CAS:482-35-9;达尔伯克改良伊格尔培养基(DMEM)购于Gibcol公司,批号:8114351;血清购于ExCell Bio公司,批号:11E074;BCA蛋白定量试剂盒:Thermo公司,批号:NK181370;酶联免疫吸附测定(ELISA)试剂盒购于武汉博士德生物工程有限公司,批号:24110125121;脂多糖(LPS)购于Sigma公司,批号:102M4017V;一氧化氮(NO)检测试剂盒购于上海碧云天生物技术有限公司,编号S0023;β-actin购于ZSGB-BIO;COX-2(EP1978Y)和iNOS(EPR16635)抗体购于abcam。

1.2 方法

1.2.1 细胞培养 RAW264.7小鼠单核巨噬细胞购自上海细胞库,用含有10%FBS和青链霉素混合液(100X)的DMEM培养基,在37 ℃、5%二氧化碳(CO2)和相对湿度90%的孵箱传代培养。

1.2.2 LPS诱导RAW264.7细胞炎症模型浓度及时间的筛选 将细胞以2×106个·mL-1的浓度接种于6孔板中,每孔2 mL,放入37 ℃、5%CO2和相对湿度90%的孵箱;细胞贴壁培养24 h后,设空白对照孔,其余孔加入不同浓度LPS(2,1,0.5,0.25 μg·mL-1)培养,每组设3个复孔,48 h后,收集培养基,用ELISA试剂盒检测肿瘤坏死因子α(TNF-α)的含量,具体按试剂盒说明书步骤进行操作。将细胞以2×106个·mL-1浓度接种于6孔培养板中,每孔2 mL,细胞贴壁后,设置空白对照,每孔加入LPS的浓度为1 μg·mL-1,分别培养12,24,36 h收集细胞培养基,用ELISA方法检测TNF-α的含量,具体按照试剂盒说明书步骤进行操作。

1.2.3 异槲皮苷和LPS对RAW264.7细胞抑制率的影响 RAW264.7细胞以1×104个·mL-1种于两块96孔板中,每孔200 μL,培养24 h后,一个96孔板分别加入异槲皮苷(50,25,12.5,6.25,3.125,1.56,0.78,0 μmol·L-1),每组6个复孔;另一块加入异槲皮苷(50,25,12.5,6.25,0 μmol·L-1)和LPS(1 μg·mL-1),每组6个复孔,培养48 h后加入5 mg·mL-1噻唑蓝(MTT),每孔10 μL,4 h后去培养基,加入DMSO150 μL,摇床振荡10 min后,酶标仪在波长490 nm测吸光度(A值),用直线回归法计算半抑制浓度(IC50)。

1.2.4 异槲皮苷对LPS诱导RAW264.7细胞分泌TNF-α水平的调控作用 RAW264.7细胞以2×106个·mL-1种于6孔板,每孔2 mL,细胞贴壁培养24 h后,实验分6组:空白对照组、LPS组、异槲皮苷不同浓度(40,20,10 μmol·L-1)+LPS组、异槲皮苷(10 μmol·L-1)组。将异槲皮苷不同浓度分别加入细胞培养基中,1 h后加入LPS(1 μg·mL-1),48 h后收集上清液,用ELISA法检测上清中TNF-α的含量。

1.2.5 异槲皮苷对LPS诱导RAW264.7细胞产生NO的影响 RAW264.7细胞以2×106个·mL-1种于6孔板,每孔2 mL,细胞贴壁培养24 h后,实验分5组:空白对照组、LPS组、异槲皮苷不同浓度(20,10 μmol·L-1)+LPS组、异槲皮苷组(10 μmol·L-1)。将异槲皮苷不同浓度加入细胞培养基中,1 h后加入LPS(1 μg·mL-1),48 h后收集上清液,用一氧化氮试剂盒检测细胞产生的NO含量,具体按照试剂盒说明书步骤进行操作。

1.2.6 Western blotting法检测异槲皮苷对LPS诱导RAW264.7细胞中iNOS和COX-2蛋白表达的影响 RAW264.7细胞以2×106个·mL-1种于6孔板,每孔2 mL,细胞贴壁培养24 h后,实验分6组:空白对照组、LPS组、异槲皮苷(20,15,10 μmol·L-1)+LPS组、异槲皮苷组(10 μmol·L-1)。将不同浓度异槲皮苷加入细胞培养基中,1 h后加入LPS(1 μg·mL-1),48 h后收集细胞,细胞用RIPA裂解液裂解,用BCA蛋白定量试剂盒检测蛋白含量,蛋白加入4×上样缓冲液(lodaing buffer)煮沸5 min,然后按照蛋白定量计算的上样量为10 μL上样,用十二烷基硫酸钠-聚丙烯酰胺凝胶电泳(sodium dodecyl sulfate polyacrylamide gel electrophoresis,SDS-PAGE)方法,配10%分离胶和浓缩胶跑胶1 h,30 min后转到聚偏二氟乙烯(polyvinylidene fluoride,PVDF)膜上,用特殊抗体(Anti-iNOS抗体、Anti-COX-2抗体)一抗4 ℃过夜,一抗比例iNOS(1∶1 000),COX-2(1∶500),β-actin(1∶1 000),再用二抗(辣根酶标记山羊抗兔lgG)37 ℃孵育1 h,二抗比例1∶10 000,洗膜后用X-ray曝光。

1.3 统计学方法

采用SPSS18.0版统计软件进行分析,计量资料用均数±标准差( x ̅ ±s)表示,组间均数比较用F检验,两两比较用q检验,以P<0.05为差异有统计学意义。

2 结果
2.1 LPS诱导RAW264.7细胞炎症模型浓度及时间

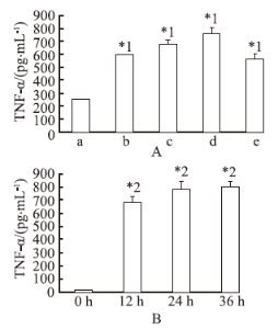
不同浓度LPS(2,1,0.5,0.25 μg·mL-1)作用于RAW264.7细胞24 h后,均能增加TNF-α的分泌量,当LPS浓度为1 μg·mL-1时,分泌量最多,见图1A。当LPS的浓度为1 μg·mL-1,作用于细胞的不同时间点时,TNF-α随着时间的增长分泌量增多,但24 h和36 h差异无统计学意义(P>0.05);所以选择LPS浓度为1 μg·mL-1作用于细胞24 h,用于后续实验。结果见图1B。

图1 不同浓度和不同时间LPS对细胞TNF-α分泌的影响(x̅±s,n=3)
a.0 μmol·L-1 LPS;b.0.25 μmol·L-1 LPS;c.0.5 μmol·L-1 LPS;d. 1.0 μmol·L-1 LPS;e.2.0 μmol·L-1 LPS;与0 μmol·L-1 LPS比较,*1P<0.01;与0 h比较,*2P<0.01

Fig.1 Effects of different concentration of LPS on TNF-α secretion at various time (x̅±s,n=3)
a.0 μmol·L-1 LPS;b. 0.25 μmol·L-1 LPS;c.0.5 μmol·L-1 LPS;d. 1.0 μmol·L-1 LPS;e.2.0 μmol·L-1 LPS; Compared with 0 μmol·L-1 LPS,*1P<0.01;Compared with 0 h,*2P<0.01

2.2 异槲皮苷和LPS对RAW264.7细胞抑制率的影响

MTT结果显示:与空白对照组比较,异槲皮苷浓度为50,25,12.5,6.25,3.125,1.56,0.78 μmol·L-1时对细胞的抑制率分别为35.52%,25.03%,15.94%,14.58%,13.05%,11.31%,6.64%;IC50为65.73 μmol·L-1,所以选择小于IC50的浓度40,20,10 μmol·L-1用于后续实验,结果见图2A。MTT显示:与空白对照组比较,LPS对细胞生长无明显抑制作用,差异无统计学意义(P>0.05)。结果见图2B。

2.3 异槲皮苷对LPS诱导RAW264.7细胞分泌TNF-α水平的调控作用

与LPS组比较,异槲皮苷浓度为40 μmol·L-1 时,差异无统计学意义(P>0.05);而浓度为20,10 μmol·L-1时,差异有统计学意义(P<0.05),分别使TNF-α的分泌量降至74.80%,60.57%,且在20 ~10 μmol·L-1浓度,随着异槲皮苷的浓度降低,TNF-α的分泌量减少越明显。所以在有效浓度范围内确定异槲皮苷的浓度为20,10 μmol·L-1用于后续实验。结果见图3。

图2 异槲皮苷和LPS对RAW264.7细胞抑制率的影响(x̅±s,n=3)

Fig.2 Effects of isoquercitrin and LPS on the inhibition rate of RAW264.7 cells (x̅±s,n=3)

图3 不同浓度异槲皮苷对LPS诱导RAW264.7细胞分泌TNF-α的影响(x̅±s,n=3)
A.空白对照组;B.LPS组;C. 40 μmol·L-1异槲皮苷+LPS组;D. 20 μmol·L-1异槲皮苷+LPS组;E. 10 μmol·L-1异槲皮苷+LPS组;F. 10 μmol·L-1异槲皮苷组;与空白对照组比较,*1P<0.05;与LPS组比较,*2P<0.05

Fig.3 Effects of different concentration of isoquercitrin on TNF-α secretion of RAW264.7 cells induced by LPS (x̅±s,n=3)
A.blank control group;B.LPS group;C. 40 μmol·L-1 isoquercitrin plus LPS group;D. 20 μmol·L-1 isoquercitrin plus LPS group; E. 10 μmol·L-1 isoquercitrin plus LPS group; F. 10 μmol·L-1 isoquercitrin group;Compared with blank control group,*1P<0.05; Compared with LPS group,*2P<0.05

2.4 LPS诱导RAW264.7细胞产生NO含量

与LPS组比较,异槲皮苷浓度为20,10 μmol·L-1时,NO的分泌量降低至79.34%,68.81%,差异有统计学意义(P<0.05);说明异槲皮苷在20~10 μmol·L-1浓度内,随着浓度降低,NO分泌量减少,且在10 μmol·L-1时,干扰NO分泌作用最强。见图4。

图4 不同浓度异槲皮苷对LPS诱导RAW264.7细胞分泌NO的影响(x̅±s,n=3)
A.空白对照组;B.LPS组;C. 20 μmol·L-1异槲皮苷+LPS组;D. 10 μmol·L-1异槲皮苷+LPS组;E. 10 μmol·L-1异槲皮苷组;与空白对照组比较,*1P<0.05;与LPS组比较,*2P<0.05

Fig.4 Effects of different concentration of isoquercitrin on NO secretion of RAW264.7 cells induced by LPS(x̅±s,n=3)
A.blank control group;B.LPS group;C.20 μmol·L-1 isoquercitrin plus LPS group;D.10 μmol·L-1 isoquercitrin plus LPS group; E.10 μmol·L-1 isoquercitrin group; Compared with blank control group, *1P<0.05; Compared with LPS group, *2P<0.05

2.5 异槲皮苷对LPS诱导RAW264.7细胞中iNOS和COX-2蛋白的影响

结果显示:与LPS组比较,异槲皮苷(20,15,10 μmol·L-1)组iNOS和COX-2的表达减少,差异有统计学意义(P<0.05);且当异槲皮苷浓度为10 μmol·L-1时,几乎完全抑制iNOS和COX-2的产生。LPS诱导细胞产生的iNOS和COX-2被异槲皮苷抑制,结果见图5。

图5 不同浓度异槲皮苷对LPS诱导RAW264.7细胞分泌iNOS和COX-2的影响(x̅±s,n=3)
A.空白对照组;B.LPS组;C. 20 μmol·L-1异槲皮苷+LPS组;D. 15 μmol·L-1异槲皮苷+LPS组;E. 10 μmol·L-1异槲皮苷+LPS组;F. 10 μmol·L-1异槲皮苷组;与空白对照组比较,*1P<0.05;与LPS组比较,*2P<0.05 笔者在本实验采用Western blotting方法检测异槲皮苷是否抑制炎症细胞模型中iNOS和COX-2的产生,结果显示异槲皮苷(10 μmol·L-1)抑制iNOS和COX-2的产生。同时本实验中异槲皮苷抑制LPS诱导产生TNF-α,炎症因子分泌减少,炎症反应减弱。异槲皮苷通过抑制iNOS的产生,从而减少NO的分泌量达到抗炎作用。异槲皮苷能抑制COX-2的表达从而抑制之后的一系列炎症反应[10-11]。说明异槲皮苷能抑制总炎症因子的分泌。

Fig.5 Effects of different concentration of isoquercitrin on iNOS and COX-2 secretion of RAW264.7 cells induced by LPS (x̅±s,n=3)
A.blank control group;B.LPS group;C.20 μmol·L-1 isoquercitrin plus LPS group;D.15 μmol·L-1 isoquercitrin plus LPS group; E.10 μmol·L-1 isoquercitrin plus LPS group; F.10 μmol·L-1 isoquercitrin group; Compared with blank control group, *1P<0.05; Compared with LPS group, *2P<0.05

3 讨论

RAW264.7细胞是小鼠巨噬细胞,在细菌产物、外界有害物质等刺激下可产生多种细胞因子,如TNF-α、IL-8、IL-6、IL-1及炎症递质NO等[7-8]。而LPS是革兰阴性细菌细胞壁的主要成分,可促使RAW264.7细胞分泌促炎症因子[9]。常用LPS诱导细胞炎症模型的方法来研究细胞的炎症反应。目前以抑制巨噬细胞活化为目标,抑制炎症相关递质的释放,进而控制炎症的发展,是防治各种炎症性疾病的重要思路。

异槲皮苷属于黄酮类化合物,黄酮最主要的作用是抗炎和抗氧化作用[3,5]。本课题组前期研究已证实鬼针草乙酸乙酯提取物中含有异槲皮苷。并初步验证异槲皮苷可能是通过抑制炎症因子的释放来抑制炎症反应[6]。本实验是在前期研究的基础上进一步探讨异槲皮苷的抗炎作用分子机制。实验中用LPS诱导RAW264.7细胞产生炎症因子及异槲皮苷的干预,用ELISA方法检测炎症因子,结果显示异槲皮苷可以抑制TNF-α的分泌。

综上所述,实验发现异槲皮苷通过抑制TNF-α、NO、iNOS、COX-2的产生而起到抗炎作用,对于异槲皮苷抑制iNOS和COX-2的作用靶点、药物的有效分子结构和信号通路,将进一步实验探讨。

The authors have declared that no competing interests exist.

参考文献

[1] MATSUI T,ITO C,FURUKAWA H,et al.Lansiumamide B and SB-204900 isolated from Clausena lansiuminhibit histamine and TNF-α release from RBL-2H3 cells[J].Inflamm Res,2013,62: 333-341.
Mast cells play a central role in allergic and chronic inflammation. Extracts from Clausena lansium (Lour.) Skeels (Rutaceae) possess many pharmacological effects including anti-inflammatory, anti-oxi
DOI:10.1007/s00011-012-0586-8      PMID:2332489520490023      URL    
[本文引用:2]
[2] VESTBO J,HURD S S,AGUSTI A G,et al.Global strategy for thediagnosis,management,and prevention of chronic obstructive pulmonary disease:GOLD executive summary[J].Am J Respir Crit Care Med,2013,187(4):347-365.
[本文引用:1]
[3] VRBA J,GAZAK R,KUZMA M,et al.A novel semisynthetic flavonoid 7-O galloyltaxifolin upregulates heme oxygenase-1 in RAW264.7 Cells via MAPK/Nrf2 pathway[J].J Med Chem,2013,56(3):856-66.
Quercetin and gallic acid are natural activators of the transcription factor Nrf2, which regulates the expression of many cytoprotective enzymes including heme oxygenase-1 (HO-1). We developed procedures for the synthesis of monogalloyl esters of quercetin and taxifolin (dihydroquercetin), namely, 3-O-galloylquercetin and 7-O-galloyltaxifolin, and examined their effect on the Nrf2 pathway in RAW264.7 cells. Unlike quercetin and free gallic acid, 3-O-galloylquercetin and natural quercetin derivatives isoquercitrin (quercetin-3-O-尾-d-glucoside) and taxifolin had no effect on the expression of HO-1. In contrast, 7-O-galloyltaxifolin increased both mRNA and protein levels of HO-1 at concentrations of 25 渭M and above. The induction of HO-1 by 7-O-galloyltaxifolin was primarily associated with the production of reactive oxygen species and phosphorylation of mitogen-activated protein kinases (MAPKs), including p38 MAPKs and ERKs, followed by nuclear accumulation of Nrf2 and downregulation of Keap1, a negative regulator of Nrf2. We conclude that 7-O-galloyltaxifolin upregulates HO-1 via activation of the MAPK/Nrf2 signaling pathway.
DOI:10.1021/jm3013344      PMID:23294286      URL    
[本文引用:2]
[4] HISANAGAA A,MUKAIB R,SAKAOA K,et al.Anti-inflammatory effects and molecular mechanisms of 8-prenyl quercetin[J]. Mol Nutr Food Res,2016,60(5):1020-1032.
8‐prenyl quercetin (PQ) is a typical prenylflavonoid distributed in plant foods. It shows higher potential bioactivity than its parent quercetin (Q) although the mechanisms are not fully understood. This study aims to clarify the anti‐inflammatory effects and molecular mechanisms of PQ in cell and animal models, compared to Q. 8‐prenyl quercetin (PQ) shows a higher bioactivity than the parent quercetin. This study clarified the anti‐inflammatory effects and molecular mechanisms of PQ. PQ revealed stronger anti‐inflammatory effects in both cell and rat models than quercetin. Molecular data demonstrated that PQ had no competitive binding to Toll‐like receptor 4 with LPS, but might directly bind to SEK1‐JNK1/2 (where SEK is stress‐activated protein kinase and JNK1/2 is Jun‐‐terminal kinase 1/2) and MEK1‐ERK1/2 (where ERK is extracellular signal regulated kinase) kinases to attenuate inflammatory signaling.
DOI:10.1002/mnfr.201500871      PMID:26872410      URL    
[本文引用:0]
[5] VALENTOVA K,VRBA J,BANCIROVA M,et al.Isoquercitrin: pharmacology, toxicology, and metabolism[J]. Food Chem Toxicol,2014,68:267-82.
The flavonoid isoquercitrin (quercetin-3-O-β-d-glucopyranoside) is commonly found in medicinal herbs, fruits, vegetables and plant-derived foods and beverages. This article reviews the occurrence, preparation, bioavailability, pharmacokinetics, toxicology and biological activity of isoquercitrin and “enzymatically modified (α-glucosylated) isoquercitrin” (EMIQ). Pure isoquercitrin can now be obtained on a large scale by enzymatic rutin hydrolysis with α-l-rhamnosidase. Isoquercitrin has higher bioavailability than quercetin and displays a number of chemoprotective effects both in vitro and in vivo, against oxidative stress, cancer, cardiovascular disorders, diabetes and allergic reactions. Although small amounts of intact isoquercitrin can be found in plasma and tissues after oral application, it is extensively metabolized in the intestine and the liver. Biotransformation of isoquercitrin includes deglycosylation, followed by formation of conjugated and methylated derivatives of quercetin or degradation to phenolic acids and carbon dioxide. The acceptable daily intake of (95%) isoquercitrin and of EMIQ was estimated to be 5.4 and 4.9mg/kg/day, respectively. Adverse effects of higher doses in rats included mostly (benign) chromaturia; nevertheless some drug interactions may occur due to the modulation of the activity and/or expression of drug metabolizing/transporting systems. With respect to the safety, affordability and beneficial pharmacological activities, highly pure isoquercitrin is a prospective substance for food supplementation.
DOI:10.1016/j.fct.2014.03.018      PMID:24680690      URL    
[本文引用:2]
[6] 李娟,刘天旭,蒋国君,.黄皮叶提取物对TNF-α分泌的影响及其机制[J].实用医学杂志,2016,32(3):367-370.
URL    
[本文引用:2]
[7] LU S H,HSU W L,CHEN T H,et al.Activation of Nrf2/HO-1signaling pathway involves the anti-inflammatory activity of magnolol in Porphyromonas gingivalis lipopolysaccharide- stimulated mouse RAW 264.7 macrophages[J].Int Immunopharmacol,2015,29(2):770-778.
Magnolol isolated from Magnolia officinalis, a Chinese medical herb, exhibits an anti-inflammatory activity and a protective effect against periodontitis. The inflammation caused by lipopolysaccharide (LPS) from Porphyromonas gingivalis (P. gingivalis) has been considered a key inducer in the development of periodontitis. In this study, we investigated whether magnolol inhibits P. gingivalis LPS-evoked inflammatory responses in RAW 264.7 macrophages and the involvement of heme oxygenase-1 (HO-1). Magnolol significantly activated p38 MAPK, Nrf-2/HO-1 cascade and reactive oxygen species (ROS) formation. Notably, the Nrf-2 activation and HO-1 induction by magnolol were greatly diminished by blocking p38 MAPK activity and ROS production. Furthermore, in P. gingivalis LPS-stimulated macrophages, magnolol treatment remarkably inhibited the inflammatory responses evidenced by suppression of pro-inflammatory cytokine, prostaglandin E2, nitrite formation, and the expression of inducible nitric oxide synthase and cyclooxygenase-2, as well as NF-魏B activation accompanied by a significant elevation of Nrf-2 nuclear translocation and HO-1 expression/activity. However, inhibiting HO-1 activity with tin protoporphyrin IX markedly reversed the anti-inflammatory effects of magnolol. Collectively, these findings provide a novel mechanism by which magnolol inhibits P. gingivalis LPS-induced inflammation in macrophages is at least partly mediated by HO-1 activation, and thereby promoting its clinical use in periodontitis.
DOI:10.1016/j.intimp.2015.08.042      PMID:26388191      URL    
[本文引用:1]
[8] KIM J H,OH S Y,HAN S B,et al.Anti-inflammatory effects of dendrobium nobile derived phenanthrenes in LPS-stimulated murine macrophages[J].Arch Pharm Res,2015,38(6):1117-1126.
Dendrobium nobile belongs to the Orchidaceae family and is one of the medicinal herbs used in traditional Chinese medicine as a therapeutic agent for gastrointestinal and cardiovascular diseases. In this study, we separated three phenanthrenes (ephemeranthol A (EA), 1,5,7-trimethoxyphenanthren-2-ol (TP), dehydroorchinol (DO)) from D. nobile , and compared their anti-inflammatory activities. TP is a new phenanthrene compound and its structure was determined from 1 H, 13 C NMR and HR-ESI-MS data. To analyze the anti-inflammatory activities of the phenanthrenes, Raw 264.7 cells were used, since they are immature-macrophages and easily matured by LPS stimulation. EA and DO showed anti-inflammatory activities in the activated Raw 264.7 cells. That is, we showed that EA is a potent inhibitor of the production of nitric oxide and pro-inflammatory cytokines. The inhibitory activities of phenanthrenes were found to be caused by blockage of NF-魏B activation and the phosphorylation of MAP kinases in the macrophages. These results are expected to serve as a guide for future studies on the ability of phenanthrenes to inhibit acute and chronic inflammatory diseases.
DOI:10.1007/s12272-014-0511-5      PMID:25370607      URL    
[本文引用:1]
[9] WANQ X,TANINO Y,SATO S,et al.Secretoglobin 3A2 attenuates lipopolysaccharide-induced inflammation through inhibition of ERK and JNK pathways in bronchial epithelial cells[J].Inflammation, 2015,38(2):828-834.
Secretoglobin (SCGB) 3A2, previously known as uteroglobin-related protein 1, is a secreted protein highly expressed in the epithelial cells of the airways. It has been demonstrated that SCGB3A2 is involved in allergic airway inflammation such as bronchial asthma. However, the role of SCGB3A2 in lipopolysaccharide (LPS)-induced airway inflammation has yet to be reported. The goal of this study was therefore to clarify the role of SCGB3A2 in LPS-induced airway inflammation. We stimulated BEAS-2B, human bronchial epithelial cells, with LPS and analyzed messenger RNA (mRNA) expression of tumor necrosis factor (TNF)-伪 and CXCL8 with or without pre-incubation of SCGB3A2. The mRNA expression of TNF-伪 and CXCL8 was clearly upregulated 3 h after LPS stimulation, and pre-incubation of SCGB3A2 significantly inhibited the upregulation of the mRNA expression. The pre-incubation of SCGB3A2 also inhibited LPS-induced phosphorylation of extracellular signal-regulated kinase (ERK) and c-Jun N-terminal kinase (JNK), but not p38 mitogen-activated protein kinase in BEAS-2B cells. Furthermore, PD98059, a specific inhibitor for ERK, as well as SP600125, a specific inhibitor for JNK, inhibited LPS-induced mRNA upregulation of inflammatory mediators. These results demonstrate the novel biological activity of SCGB3A2, which is that it attenuates LPS-induced inflammation in bronchial epithelial cells through inhibition of ERK and JNK activation.
DOI:10.1007/s10753-014-9992-0      PMID:25117566      URL    
[本文引用:1]
[10] 张浩,昝金行,龙伟,. 基于分子对接方法的中药抗炎机制研究[J]. 医药导报,2012,31(12):1542-1546.
目的研究清热、温里、补阳3类 中药的抗炎作用分子机制。方法借助计算机辅助药物设计技术,研究上述3类中药中分子与炎症网络中8个关键靶点(JNK-1、JNK-3、P38、IKK、 5-Lox、COX-2、LTA4和PLA2)的作用,根据评分结果探讨不同种类中药抗炎机制。结果清热类、温里类中药评分结果较好,其多靶点效应明显; 清热类中药对于信号传导网络作用相对明显,温里类中药抗炎机制有明显的个体差异性,补阳类中药抗炎效果主要通过直接影响代谢网络靶点实现。结论清热、温 里、补阳类中药抗炎的分子机制不同。
DOI:10.3870/yydb.2012.12.005      URL    
[本文引用:1]
[11] 李海龙,师金凤,蔺兴遥,. 中药及有效成分调控环氧化酶-2抗肿瘤研究进展[J]. 中国中医药信息杂志,2014,21(10):134-136.
URL    
[本文引用:1]
资源
PDF下载数    
RichHTML 浏览数    
摘要点击数    

分享
导出

相关文章:
关键词(key words)
异槲皮苷
RAW264.7细胞
炎症因子
肿瘤坏死因子α

Isoquercitrin
RAW264.7 cell
Inflammatory factors
Tumor necrosis factor α

作者
刘天旭
李娟
蒋国君
董晓敏
朱钊铭
黄桂红

LIU Tianxu
LI Juan
JIANG Guojun
DONG Xiaomin
ZHU Zhaoming
HUANG Guihong